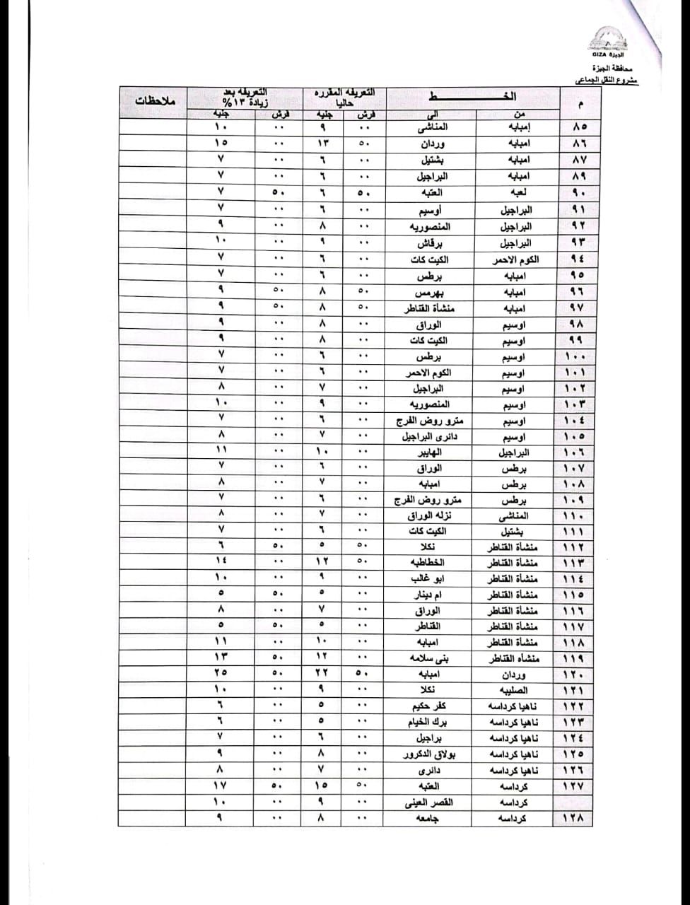
اعتمد المهندس عادل النجار محافظ الجيزة، التعريفة الجديدة لسيارات السرفيس والنقل الجماعي الداخلية والخارجية، وذلك في ضوء قرار لجنة التسعير التلقائي للمنتجات البترولية بوزارة البترول بتحريك أسعار المنتجات البترولية.
ويوضح "اليوم السابع" في السطور التالية التعريفة الجديدة بمواقف المحافظات.




وكلف محافظ الجيزة، جهاز السرفيس والأحياء والمراكز بطباعة ملصقات وبانرات بالتعريفة الجديدة والالتزام بنشرها بالمواقف وتعليقها في مكان واضح للمواطنين والسائقين.
وشدد على ضرورة التأكد من وضع الملصق الخاص بسيارات السرفيس والنقل الجماعي والمتضمن خط السير والأجرة المقررة وفقًا للزيادات الجديدة لعدم قيام قائدى السيارات بزيادة تعريفة الركوب بصورة منفردة أو تقسيم خطوط السير.
ووجه محافظ الجيزة، الأجهزة المعنية من جهاز السرفيس وإدارة المرور ورؤساء الأحياء والمراكز ومسؤولي التموين، بالرقابة والمتابعة على مدار الساعة للتأكد من الإلتزام بالتعريفة الجديدة وعدم استغلال المواطنين.
وقررت لجنة التسعير التلقائي للمنتجات البترولية المعنية بمتابعة وتنفيذ آليات تطبيق التسعير التلقائى للمنتجات البترولية قررت فى اجتماعها التوصية تحريك الأسعار الحالية السائدة فى السوق المحلى، مع تثبيت الأسعار لعام كامل كحد أدنى، وذلك اعتبارًا من اليوم الجمعة الموافق 17- 10- 2025 الساعة السادسة صباحًا بزيادة أسعار البنزين بأنواعه والسولار.
وشملت الأسعار الجديدة للمنتجات البترولية زيادة أسعار البنزين بأنواعه، والسولار، وغاز تموين السيارات، وأسطوانات البوتاجاز وذلك على النحو التالي: حيث أنه بالنسبة لبنزين 95 من 19 جنيه إلى 21 جنيه للتر، أما البنزين 92 من 17.25 جنيه إلى 19.25 جنيه، وبالنسبة لبنزين 80 من 15.75 إلى 17.75 جنيه، والسولار من 15.50 جنيه إلى 17.50 جنيه للتر.
ملحوظة: مضمون هذا الخبر تم كتابته بواسطة اليوم السابع ولا يعبر عن وجهة نظر مصر اليوم وانما تم نقله بمحتواه كما هو من اليوم السابع ونحن غير مسئولين عن محتوى الخبر والعهدة علي المصدر السابق ذكرة.
انتبه: مضمون هذا الخبر تم كتابته بواسطة مصر اليوم ولا يعبر عن وجهة نظر مصر اليوم وانما تم نقله بمحتواه كما هو من مصر اليوم ونحن غير مسئولين عن محتوى الخبر والعهدة علي المصدر السابق ذكرة.